SemanticScanpath:

Combining Gaze and Speech for Situated Human-Robot Interaction Using LLMs

Elisabeth Menendez🤖, Michael Gienger🚀, Santiago Martínez🤖, Carlos Balaguer🤖, Anna Belardinelli🚀

Overview of the architecture leveraging the SemanticScanpath representation.

We introduce here a textual representation combining speech and gaze behavior to prompt a LLM during Human-Robot Interaction. Such multimodal yet compact representation enhanced with the possibility for the LLM to query the current scene content, enables situated reasoning about the user's underspecified or ambiguous requests, relating speech semantics to the communicative intentions underlying gaze. In our approach, we jointly collect the transcription of the user's request and the gaze history as a scanpath on the scene, providing a sequence of fixated semantic Areas-Of-Interest along with dwell time. Such input is fed to the LLM with a tailored system prompt, providing guidelines for reasoning about the gaze but agnostic with respect to the task or the scenario. The system can decide to further ground the request by inspecting the scene. We show that such representation allows to resolve demonstrative disambiguation (e.g., 'give me that') - a typical problem in situated interaction - but also to accurately infer user's intents by leveraging gaze to ground ambiguous speech and by focusing on speech content to discard spurious fixations. The proposed representation outperforms not just a purely verbal baseline, but also other control conditions with less rich spatio-temporal information.


Example of SemanticScanpath-based interaction

Experiments and results

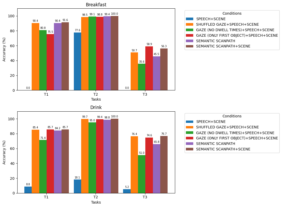
We evaluated the proposed representation in two different scenarios (a breakfast table and a drinks table) and had multiple users make 3 requests to the robot hinting with their gaze (here, head orientation) to the desired objects

Scenario/Task Abstract task User's request Intended reasoning Target objects
Breakfast/T1 Infer user's intent "Can you help me with this?" Pour cereal in the bowl Cereal box, bowl
Breakfast/T2 Disambiguate object instance "Could you pass me that bottle?" Pass the milk bottle for the cereals Milk bottle
Breakfast/T3 Infer content "Can I also have some sugar?" Get the small bowl Small bowl
Drink/T1 Infer user's preference "I'm thirsty, can I have something to drink?" Preference for the cola Cola bottle
Drink/T2 Disambiguate object instance "Could you use this glass?" Use the glass in front of the user Red glass
Drink/T3 Infer content "I'd like some ice cubes with it" Get the bowl with the ice Bowl

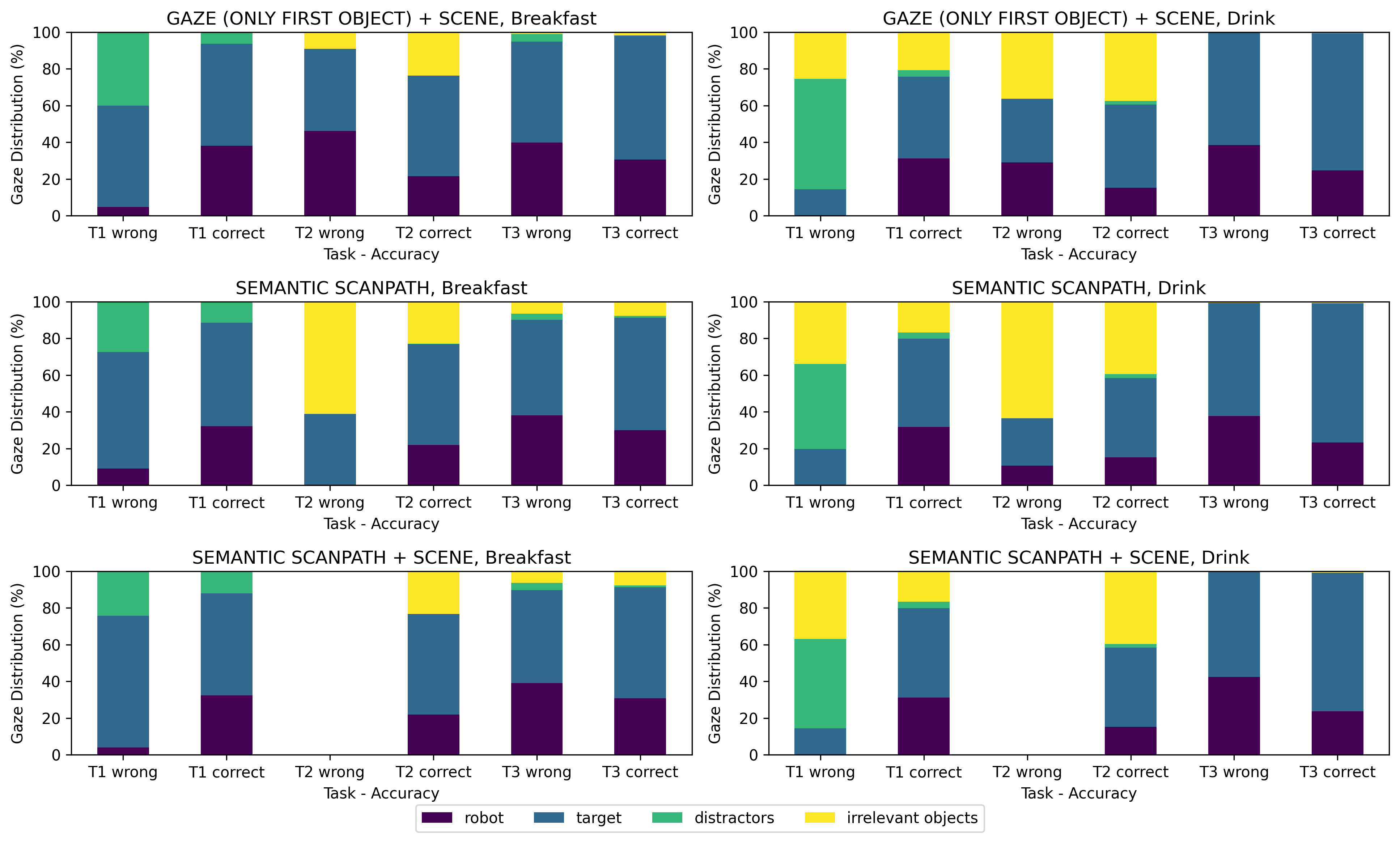
The Semantic Scanpath representation enriched with scene object information (Semantic Scanpath +scene) had the best accuracy on average in resolving the three tasks across both scenarios. It performed better than just speech and scene information (speech + scene), than a scanpath representation with shuffled fixations (shuffled gaze), or without dwell time information (gaze no dwell time), or just considering the most likely gazed object (gaze only first object). To gain an idea of how much a noisy scanpath could affect the accuracy, we also looked at how the gaze dwelling was distributed across targets, distractors, and irrelevant objects. Accurately disambiguated references rely on longer time spent on targets, while still filtering out spurious glances or irrelevant fixations.

System prompt

          
            """
            You are a friendly and attentive service agent.
You control a physical robot called ’the_robot’ and receive requests from the user.
You have access to functions for gathering information, acting physically, and speaking out loud.
You receive two types of inputs from the user:
Speech input: The user will verbally ask for help.
Gaze history: This is divided into segments, each showing the objects the user likely focused on while uttering the
speech input and the duration of that focused period (seconds). Some segments may include multiple objects
ordered by decreasing likelihood (closer objects are mixed).

IMPORTANT: Obey the following rules:
1. Always start gathering all available information related to the request from the scene and the input.
2. Always focus on understanding the user’s intent based on context, speech input, and gaze history. Use gaze to clarify
speech, when requests are ambiguous. Use speech to clarify gaze, when requests are ambiguous.
3. Provide a reason for every response to user requests using the ’reasoning’ function to explain decisions. Be concise
and clear.
4. Speak out loud using the ’speak’ function to communicate clearly and concisely with the user.
5. If you are not sure about the user’s intent, ask for clarification.
6. Provide the ’required_objects’ for every user request.

REMEMBER YOUR RULES!! TIPS FOR INTERPRETING GAZE:
1. Referred objects are usually gazed ahead of utterance, but also right before looking at you.
2. Intentionally referred objects are usually looked at longer and more frequently.
3. Spurious fixations are usually short and mixed with closer objects.
            """